浙江省新高考等級賦分如何看出排名?浙江賦分是單科排名還是組合排名?
浙江省是第一批進行高考綜合改革的省份,為了能準確地評定學生的綜合素質,考量學生的知識水平、思維能力和實際應用能力,率先采用了高考賦分制度,避免了因學科試題難度不同而導致的不公平。那么浙江省新高考等級賦分如何看出排名?在賦分時是依據單科排名還是組合排名?快來了解一下吧!

浙江省新高考等級賦分如何看出排名?
浙江省新高考制度下,政治、歷史、地理、物理、化學、生物這六門科目的考試成績均需經過等級賦分,再計入考生總成績。
浙江省高考賦分首先需要把每門選擇性考試科目的考生按照卷面成績從高到低排序,劃分出20個賦分區間,每個區間對應一個分數段。這些區間從100-97分(第1區間)到42-40分(第20區間),相鄰區間的最低分和最高分差1分。第1區間為100-97,第2區間為96-94,以此類推,第20區間為42-40。(如下圖)

考生根據分數對應到具體的等級區間,再通過公式計算將原始分轉換成等級。
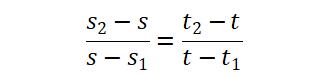
浙江高考采用的賦分公式為:
其中,s2、s1為卷面得分區間的上限和下限,s為待轉換卷面得分;t2、t1為賦分區間的上限和下限,t為卷面得分等比例轉換后的賦分。轉換后還需進行四舍五入才算是最終的賦分結果。
舉例說明:賦分區間為87-85,如對應的卷面得分區間為84-81,某考生的卷面得分為83,通過等比例轉換:

可以得出t=86.3,四舍五入取整后的等級賦分為86分。
而在浙江省官方教育考試院發布的一分一段表中呈現的考生位次,已經是根據考生各科賦分后的成績來綜合排列的,反映了考生在全省的相對排名。
浙江賦分是單科排名還是組合排名?
浙江賦分是根據單科排名進行的。浙江省每門選考科目的成績都是獨立進行排名和賦分的,而并不是將各科成績綜合起來進行排名和賦分的。
這是因為每門選考科目的試題難度差異和報考相應學科的考生群體不同,將各科原始成績綜合進行排名是不具有可比性的。如,考生甲選考政治、歷史和地理,各科成績分別為72分、60分、64分;考生乙選考化學、物理、生物,各科成績分別為64分、72分、60分。雖然三門科目總分是相等的,但考生甲憑借72分排在所有選考政治考生的第182位,考生乙憑借72分排在所有選考物理考生的第1300位。若直接將他們的各科成績相加并進行比較,這樣既不科學也不公平。
因此需要將不同科目的卷面分按照單科排名及等級賦分方法換算為等級分(轉換后考生在選考科目中成績排序不變),來解決選考科目卷面分不具有可比性的問題。
同時浙江省還建立了選考科目保障機制,將各選考科目的保障基數確定為6.5萬人。當某選考科目某次考試賦分人數少于保障數量時,以6.5萬人為基數從高到低進行等級賦分。這也是為了保持各科目賦分規則一致、保障公平。
以上資料僅供參考,具體請以實際情況為準!
相關閱讀
- 
                         高考補錄什么時候開始錄取幾率大嗎?補錄和正常錄取的區別?說到高考補錄很多學生會認為補錄等同于征集志愿,畢竟都是高校校未完成招生計劃時進行的補充錄取環節,但大家需要注意高考補錄和征集志愿還是有所不同的,最明顯...作者:山海 時間:2025-06-17 高考補錄什么時候開始錄取幾率大嗎?補錄和正常錄取的區別?說到高考補錄很多學生會認為補錄等同于征集志愿,畢竟都是高校校未完成招生計劃時進行的補充錄取環節,但大家需要注意高考補錄和征集志愿還是有所不同的,最明顯...作者:山海 時間:2025-06-17
- 
                         2024浙江省大學排名及錄取分數線-浙江最好的大學推薦(2025參考)高考志愿填報至關重要,大家一定要重視起來,尤其在選擇院校時一定要對自己有一個清晰的定位,然后通過參考院校的排名及分數線確定自己要報考的院校范圍,很多學...作者:山海 時間:2025-06-09 2024浙江省大學排名及錄取分數線-浙江最好的大學推薦(2025參考)高考志愿填報至關重要,大家一定要重視起來,尤其在選擇院校時一定要對自己有一個清晰的定位,然后通過參考院校的排名及分數線確定自己要報考的院校范圍,很多學...作者:山海 時間:2025-06-09
- 
                         浙江省211大學有哪幾所大學?2024浙江211大學排名及錄取分數線(2025參考)高考季即將來臨,還剩最后的半個月時間供高考生沖刺復習、查漏補缺,當然對于考生來說目前最重要的便是調整心態,盡量減小心理負擔,爭取以最好的狀態迎接高考。...作者:kokkuri 時間:2025-05-26 浙江省211大學有哪幾所大學?2024浙江211大學排名及錄取分數線(2025參考)高考季即將來臨,還剩最后的半個月時間供高考生沖刺復習、查漏補缺,當然對于考生來說目前最重要的便是調整心態,盡量減小心理負擔,爭取以最好的狀態迎接高考。...作者:kokkuri 時間:2025-05-26
- 
                         高考準考證什么時候能打印,電子版在哪查?2025準考證打印入口官網(各省匯總)距離2025年高考已然不剩多少時間,在這幾天內考生除了要按部就班的保持復習,還需盡力調整自身心態、緩解考試壓力,保證能以最好的狀態迎接高考。當然,打印準考...作者:kokkuri 時間:2025-05-26 高考準考證什么時候能打印,電子版在哪查?2025準考證打印入口官網(各省匯總)距離2025年高考已然不剩多少時間,在這幾天內考生除了要按部就班的保持復習,還需盡力調整自身心態、緩解考試壓力,保證能以最好的狀態迎接高考。當然,打印準考...作者:kokkuri 時間:2025-05-26
- 
                         2025高考地理時間(各省匯總),新高考地理題型及分數占比今年高考相較于往年又有了不少新的轉變,其中最值得關注的便是第五批省份新高考改革落地,其進一步打破了傳統高考文理分科的界限,讓更多學生擁有了選科自主權。...作者:kokkuri 時間:2025-05-24 2025高考地理時間(各省匯總),新高考地理題型及分數占比今年高考相較于往年又有了不少新的轉變,其中最值得關注的便是第五批省份新高考改革落地,其進一步打破了傳統高考文理分科的界限,讓更多學生擁有了選科自主權。...作者:kokkuri 時間:2025-05-24
- 
                         2025高考政治時間(各省匯總),新高考政治題型及分數占比今年高考相較于往年又有了不少新的轉變,其中最值得關注的便是第五批省份新高考改革落地,其進一步打破了傳統高考文理分科的界限,讓更多學生擁有了選科自主權。...作者:kokkuri 時間:2025-05-24 2025高考政治時間(各省匯總),新高考政治題型及分數占比今年高考相較于往年又有了不少新的轉變,其中最值得關注的便是第五批省份新高考改革落地,其進一步打破了傳統高考文理分科的界限,讓更多學生擁有了選科自主權。...作者:kokkuri 時間:2025-05-24
最新文章
- 高考分數相同位次怎么排名的?高考同分排序規則是什么?
- 新高考全國一卷的省份有哪些 全國新高考一卷使用地區
- 2023高考位次怎么查詢?高考位次查詢系統入口在哪里
- 新高考原始分和賦分是什么意思?新高考是按賦分還是原始分錄取?
- 高考位次計算方法公式是什么?高考一分一段表如何換算位次?
- 天津高考新政策是3+1+2還是3+3?2023年天津高考新政策細則解讀
- 2024新高考一卷數學題型改變了嗎變化分析及備考建議,命題人是誰?
- 浙江新高考政策選科怎么選,浙江新高考七選三哪個組合好
- 2025新高考死亡組合,新高考不建議的選科組合(附3+1+2賦分誰最吃虧)
- 新高考英語和老高考英語有什么區別,新高考英語題型及分值介紹
